By Caio Figueiredo, Veterinary Medicine Extension
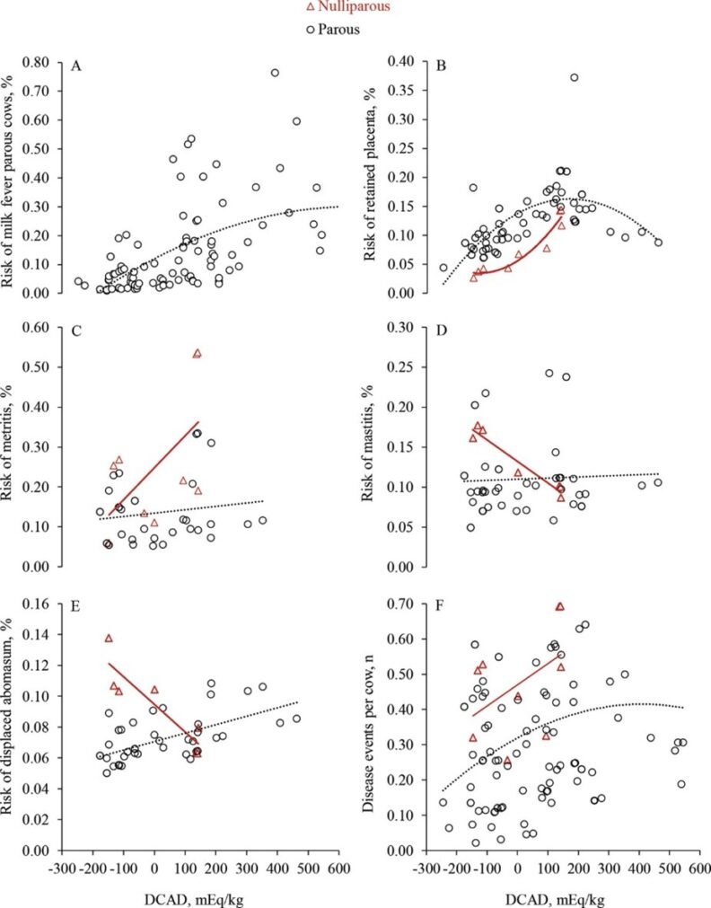
The transition period is considered one of the most challenging stages in the life of a dairy cow. The abrupt change in nutrient balance due to parturition and the start of lactation is one of the main culprits for the increased metabolic stress and inflammatory process observed in transition cows, which predisposes postpartum cows to several diseases such as hypocalcemia. Over the years, researchers have developed multiple strategies to reduce the occurrence of postpartum diseases, including strategies based on managing the composition of prepartum diets. Nowadays, it is common practice to modulate feed levels of major cations (K and Na) and anions (Cl and S) in order to offer acidogenic diets (Dietary Cation-Anion Difference) to prepartum cows and induce a compensated metabolic acidosis. Multiple studies have shown the positive impacts on postpartum health and performance associated with the manipulation of strong ions in the diet of prepartum cows. For instance, the use of acidogenic diets in prepartum cows was positively associated with milk production in multiparous cows (Figure 1; Santos et al., 2019), and reduced risk of milk fever, retained fetal membranes, metritis, displacement abomasum, and overall number of health events per cow (Figure 2; Santos et al., 2019). Similar outcomes were also observed in another study conducted on commercial herds (Couto Serrenho et al., 2021). In this specific study, multiparous cows offered acidified feed (- 108 mEq/kg of Dry-Matter) had greater milk production, reproductive performance, and reduced culling compared with cows fed non-acidogenic diets (+ 105 mEq/kg of Dry-Matter). Conversely, acidogenic diets were not associated with any beneficial effects in primiparous cows, suggesting that acidogenic diets should target multiparous cows only. Further research aiming to understand the effects of acidogenic diets on primiparous cows (nulliparous at the time of feeding) reported benefits associated with acidogenic diets to primiparous cows using a ration with a different composition (- 50 mEq/kg of Dry-Matter; Zimpel et al., 2021). Thus, implementing strategies that modulate the metabolism of cows is beneficial and it may influence prepartum management, as nulliparous and parous cows may require different dietary formulations. Another important component to consider in prepartum management that has been associated with positive outcomes in cow health and performance is the time prepartum cows remain in the close-up pen (and fed acidogenic diets). For instance, cows that stayed in close-up pen for periods > 30 days had reduced milk production compared with those that remained ≤ 30 days (Venjakob et al., 2022). Similarly, a quadratic effect of time in the close-up pen was observed for milk production, occurrence of diseases, reproductive performance, and survival, indicating that there is an optimal time cows should remain in close-up pen (approximately 25 days; Vieira-Neto et al., 2021).

Figure 1. Postpartum performance in nulliparous (triangle) and parous cows (circle) according to prepartum DCAD fed. Milk yield (A); effect of DCAD (P = 0.74), parity (P < 0.001), and interaction between DCAD and parity (P = 0.03). Fat-corrected milk yield (B); effect of DCAD (P = 0.90), parity (P < 0.001), and interaction between DCAD and parity (P = 0.002).

Figure 2. Risk of diseases (proportion of cows affected) postpartum in nulliparous (triangle) and parous cows (circle) according to prepartum DCAD fed. Milk fever (A); effect of DCAD (P < 0.001) and quadratic effect of DCAD (P < 0.001). Retained placenta (B); effect of DCAD (P < 0.001), quadratic effect of DCAD (P = 0.05), parity (P = 0.12), and interaction between DCAD and parity (P = 0.59). Metritis (C); effect of DCAD (P = 0.02), parity (P = 0.11), and interaction between DCAD and parity (P = 0.33). Mastitis (D); effect of DCAD (P = 0.60), parity (P = 0.53), and interaction between DCAD and parity (P = 0.35). Displaced abomasum (E); effect of DCAD (P = 0.68), parity (P = 0.48), and interaction between DCAD and parity (P = 0.45). Number of disease events per cow (F); effect of DCAD (P = 0.002), quadratic effect of DCAD (P < 0.001), parity (P = 0.88), and interaction between DCAD and parity (P = 0.56).